Free Access

This article has an erratum: [https://doi.org/10.1051/0004-6361/201118483e]


Fig. B.1

thumbnail

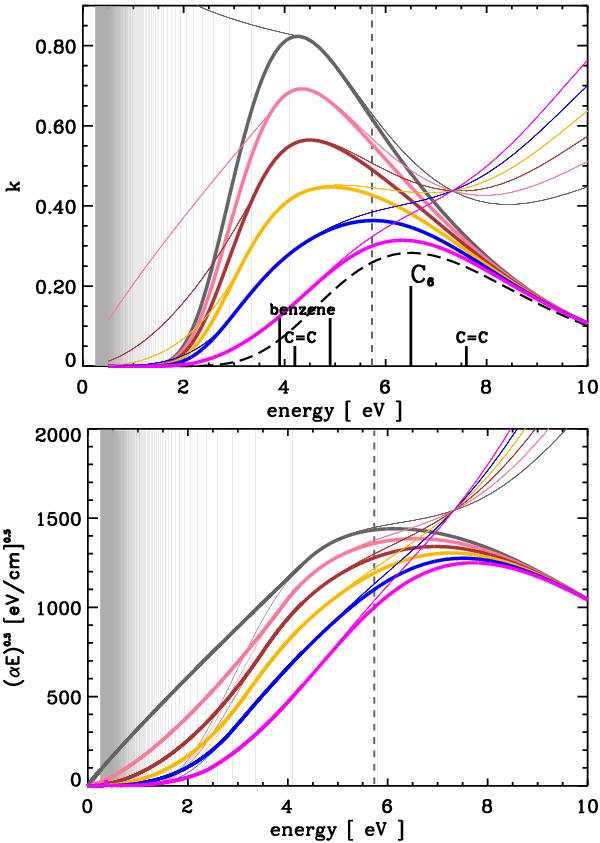
Upper figure: the aromatic component contribution to the imaginary part of the refractive index, k, for the optEC(s) model materials with Eg = 0,0.5,1.0,1.5,2.0 and 2.5 eV (dark grey, pink, brown, yellow, blue and purple lines, from top to bottom, respectively). The dark grey long-dashed curve indicates the adopted C6 band profile peaking at 6.5 eV, as indicated. Lower figure: the same data presented as (αE)0.5 but with the low energy extrapolation now included. See text for details.

This figure is made of several images, please see below:

Current usage metrics show cumulative count of Article Views (full-text article views including HTML views, PDF and ePub downloads, according to the available data) and Abstracts Views on Vision4Press platform.

Data correspond to usage on the plateform after 2015. The current usage metrics is available 48-96 hours after online publication and is updated daily on week days.

Initial download of the metrics may take a while.