Free Access

Fig. 11

thumbnail

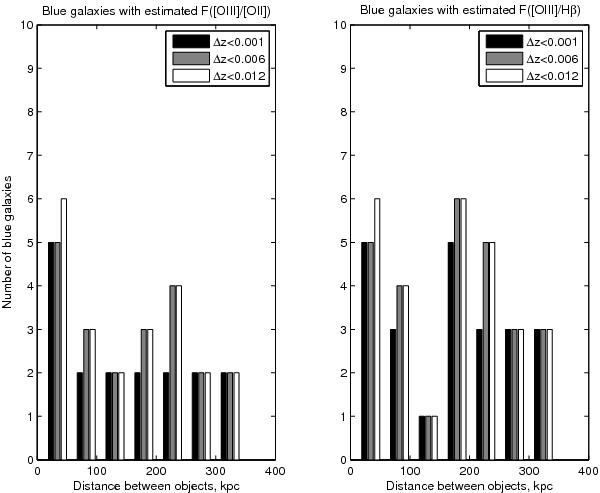
Left column: number of galaxies with [O iii] and [O ii] measured. Right column: number of blue galaxies with [O iii] and Hβ measured. The three  | Δz |  are represented by different bar colors. Galaxies with ionization  >7 are not included since they are believed to be AGN that have contaminated the sample despite using the BPT criteria. Galaxies with individual errors  >1000 in ionization are excluded. The individual errors are unweighted in the calculations of mean values and error. Only objects with emission line fluxes greater than three times the error in emission line flux are utilized.

Current usage metrics show cumulative count of Article Views (full-text article views including HTML views, PDF and ePub downloads, according to the available data) and Abstracts Views on Vision4Press platform.

Data correspond to usage on the plateform after 2015. The current usage metrics is available 48-96 hours after online publication and is updated daily on week days.

Initial download of the metrics may take a while.