Highlight
Free Access

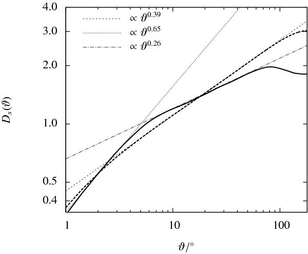
Fig. 11

thumbnail

Second-order structure function corresponding to the angular power spectrum plotted in Fig. 10 (thick solid line) and its power law fit (thick dashed line), along with power law approximations (thin lines).

Current usage metrics show cumulative count of Article Views (full-text article views including HTML views, PDF and ePub downloads, according to the available data) and Abstracts Views on Vision4Press platform.

Data correspond to usage on the plateform after 2015. The current usage metrics is available 48-96 hours after online publication and is updated daily on week days.

Initial download of the metrics may take a while.