Highlight
Free Access

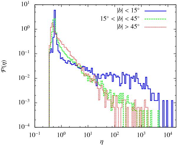
Fig. 7

thumbnail

Comparison of the reconstructed distributions of the correction factors η for different latitude bins. The dark solid histogram depicts the distribution for data points within the Galactic plane, the light dashed histogram the distribution for data points at intermediate latitudes, and the dotted histogram the one for data points in the polar regions. Only the results obtained with β = 2 are shown.

Current usage metrics show cumulative count of Article Views (full-text article views including HTML views, PDF and ePub downloads, according to the available data) and Abstracts Views on Vision4Press platform.

Data correspond to usage on the plateform after 2015. The current usage metrics is available 48-96 hours after online publication and is updated daily on week days.

Initial download of the metrics may take a while.