Free Access

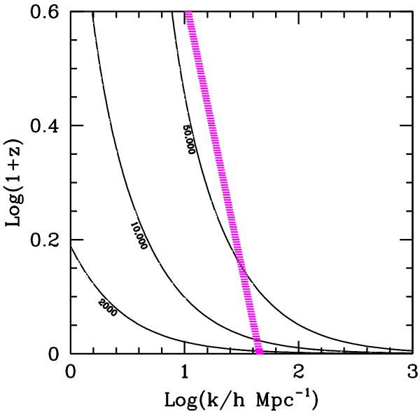
Fig. 12

thumbnail

Numerical noise limit (magenta band) compared with the maximum k needed to calculate the shear spectra at various values (aside the curves). The k values above which shot noise exceeds the physical spectrum is approximated here by the expression log (k/h   Mpc-1) ~ 1.6–1.05   log    (1 + z), in accordance with the results of the method described in Sect. 3.

Current usage metrics show cumulative count of Article Views (full-text article views including HTML views, PDF and ePub downloads, according to the available data) and Abstracts Views on Vision4Press platform.

Data correspond to usage on the plateform after 2015. The current usage metrics is available 48-96 hours after online publication and is updated daily on week days.

Initial download of the metrics may take a while.