Free Access

Fig. 19

thumbnail

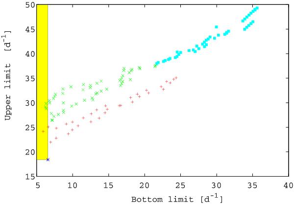
Bottom versus upper limit of the instability range. Models computed using the physical parameters from spectroscopy are plotted as red and green crosses. The limits of the frequencies with the highest amplitudes observed in HD 50870 are depicted with a blue star. The shaded yellow area shows where a theoretical model must be to predict an over-stable frequency range containing the observed one. The models with a Δν in the observed range of [3.5,4.5] d-1 are marked as light blue squares.

Current usage metrics show cumulative count of Article Views (full-text article views including HTML views, PDF and ePub downloads, according to the available data) and Abstracts Views on Vision4Press platform.

Data correspond to usage on the plateform after 2015. The current usage metrics is available 48-96 hours after online publication and is updated daily on week days.

Initial download of the metrics may take a while.