Free Access

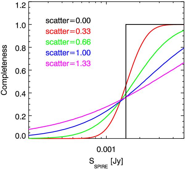
Fig. 7

thumbnail

Completeness of the SPIRE counts reconstructed by stacking in a simple case for various values of scatter on the colors. We assume power-law counts (dN/dS ∝ S-1.5), a mean SPIRE/24 μm ratio, a log-normal scatter with different values and a flux density cut at 24 μm of 30 μJy. This figure is discussed in Sect. 4.4.

Current usage metrics show cumulative count of Article Views (full-text article views including HTML views, PDF and ePub downloads, according to the available data) and Abstracts Views on Vision4Press platform.

Data correspond to usage on the plateform after 2015. The current usage metrics is available 48-96 hours after online publication and is updated daily on week days.

Initial download of the metrics may take a while.