Free Access

This article has an erratum: [https://doi.org/10.1051/0004-6361/201118717e]


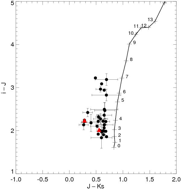
Fig. 1

thumbnail

(J − Ks, i − J) colour–colour diagram showing the positions of our subdwarf candidates identified in the SDSS/UKIDSS search (filled circles) with their respective error bars. Overplotted as filled red triangles are two known ultracool subdwarfs from Lépine & Scholz (2008) with J and K photometry from UKIDSS LAS DR5 (error bars are smaller than the symbols) and the solar-metallicity M/L dwarf sequence (line with crosses; spectral types are labelled; 0  ≡  M0, 10  ≡  L0) from West et al. (2008) and Schmidt et al. (2010b). The photometry shown in this diagram is in the MKO photometric system (Hewett et al. 2006).

Current usage metrics show cumulative count of Article Views (full-text article views including HTML views, PDF and ePub downloads, according to the available data) and Abstracts Views on Vision4Press platform.

Data correspond to usage on the plateform after 2015. The current usage metrics is available 48-96 hours after online publication and is updated daily on week days.

Initial download of the metrics may take a while.