Free Access

This article has an erratum: [https://doi.org/10.1051/0004-6361/201118717e]


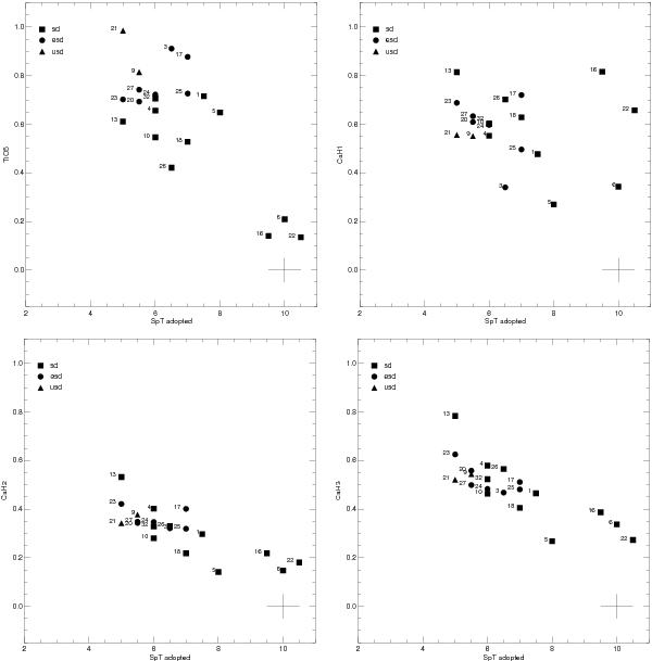
Fig. 8

thumbnail

Spectral indices as a function of the adopted spectral types for our new ultracool subdwarfs. Typical uncertainties on the spectral indices are of the order of 0.1 (cross at the bottom of each plot). Uncertainties on the spectral types are 0.5 subclass. Top left: adopted spectral types vs. TiO5 index. Top right: adopted spectral types vs. CaH1 index. Bottom left: adopted spectral types vs. CaH2 index. Bottom right: adopted spectral types vs. CaH3 index.

This figure is made of several images, please see below:

Current usage metrics show cumulative count of Article Views (full-text article views including HTML views, PDF and ePub downloads, according to the available data) and Abstracts Views on Vision4Press platform.

Data correspond to usage on the plateform after 2015. The current usage metrics is available 48-96 hours after online publication and is updated daily on week days.

Initial download of the metrics may take a while.