Free Access

Fig. 14

thumbnail

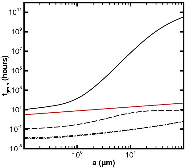
Grain lifetimes regarding sublimation: pure ice grains (solid line); three-layer grains with a fractional mass of the mantle component αice = 0.90 (dash-dotted-dotted line); two-layer (Ol) grains with a core of amorphous silicate and a mantle of water ice with αice = 0.98 (long-dashed line); two-layer (C) grains with a core of amorphous carbon and a mantle of water ice with αice = 0.98 (dash-dotted line). The dash-dotted-dotted line and the dash-dotted line are nearly identical. The grain residence time within the 9.25′′  ×  9.25′′ FOV is shown by the red line. We assumed vref = 230 m s-1 and qv = 0.4.

Current usage metrics show cumulative count of Article Views (full-text article views including HTML views, PDF and ePub downloads, according to the available data) and Abstracts Views on Vision4Press platform.

Data correspond to usage on the plateform after 2015. The current usage metrics is available 48-96 hours after online publication and is updated daily on week days.

Initial download of the metrics may take a while.