Free Access

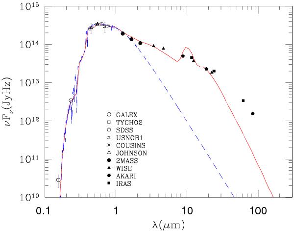
Fig. 6

thumbnail

The observed spectral energy distribution of BD+46°442 plotted against the reddened Kurucz’s model (dashed line) and our star + disk model (solid line). The flux up to 30 μm can be reproduced with 10-6   M of dust in grains smaller than 100 μm in size that reside in a ring that stretches from 7 AU to  ~500 AU.

Current usage metrics show cumulative count of Article Views (full-text article views including HTML views, PDF and ePub downloads, according to the available data) and Abstracts Views on Vision4Press platform.

Data correspond to usage on the plateform after 2015. The current usage metrics is available 48-96 hours after online publication and is updated daily on week days.

Initial download of the metrics may take a while.