Free Access

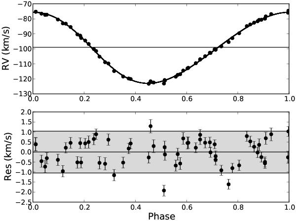
Fig. 8

thumbnail

Upper panel: radial velocities of BD+46°442 phased with a period of 140.77 days and overlaid on our Keplerian fit. The horizontal line marks the corresponding systemic velocity. The φ = 0 was defined to correspond to the maximum RV (i.e. near one of the elongations). Bottom panel: residuals from the fit with  ± 3σ margins.

Current usage metrics show cumulative count of Article Views (full-text article views including HTML views, PDF and ePub downloads, according to the available data) and Abstracts Views on Vision4Press platform.

Data correspond to usage on the plateform after 2015. The current usage metrics is available 48-96 hours after online publication and is updated daily on week days.

Initial download of the metrics may take a while.