Free Access

This article has an erratum: [https://doi.org/10.1051/0004-6361/201118735e]


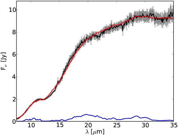
Fig. 12

thumbnail

Fits to stellar-subtracted spectra of HD 98800 B (fits in red, data in black). Blue line shows the contribution of enstatite grains.

Current usage metrics show cumulative count of Article Views (full-text article views including HTML views, PDF and ePub downloads, according to the available data) and Abstracts Views on Vision4Press platform.

Data correspond to usage on the plateform after 2015. The current usage metrics is available 48-96 hours after online publication and is updated daily on week days.

Initial download of the metrics may take a while.