Fig. 4

thumbnail

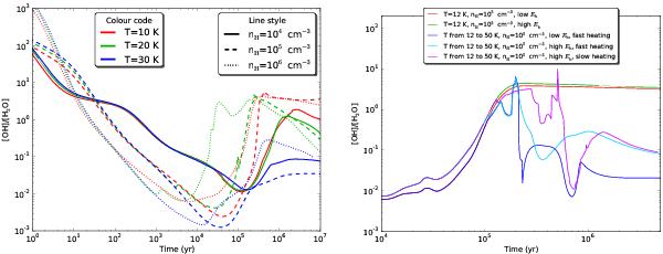
Left panel: predictions of the OH/H2O ratio from the Du et al. (2012) standard model, for constant (T, nH) conditions. Right panel: models with constant and time-dependent temperature. “Low Eb” models use the binding energies for species on the grains of the standard model of Du et al. (2012) while “high Eb” models use the higher binding energies for species with an OH bond from Garrod & Herbst (2006).

This figure is made of several images, please see below:

Current usage metrics show cumulative count of Article Views (full-text article views including HTML views, PDF and ePub downloads, according to the available data) and Abstracts Views on Vision4Press platform.

Data correspond to usage on the plateform after 2015. The current usage metrics is available 48-96 hours after online publication and is updated daily on week days.

Initial download of the metrics may take a while.