Fig. 5

thumbnail

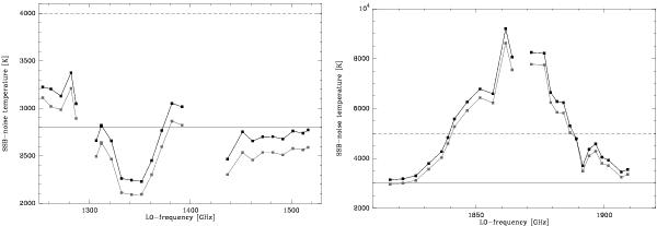
Single-sideband receiver noise temperatures vs. tuning range for bands L1 (left panel) and L2 (right panel). Horizontal lines denote the baseline (dashed lines) and goal performance committed for Early Science. The two curves display average noise temperatures – around the IF-center – for IF bandwidths of 1.0 and 1.5   GHz (higher noise).

This figure is made of several images, please see below:

Current usage metrics show cumulative count of Article Views (full-text article views including HTML views, PDF and ePub downloads, according to the available data) and Abstracts Views on Vision4Press platform.

Data correspond to usage on the plateform after 2015. The current usage metrics is available 48-96 hours after online publication and is updated daily on week days.

Initial download of the metrics may take a while.