Free Access

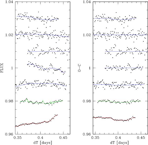
Fig. 3

thumbnail

Left: WASP-43 b occultation photometry, binned per intervals of 2 min, period-folded on the best-fit transit ephemeris deduced from our global MCMC analysis (see Sect. 3.3), and shifted along the y-axis for clarity. The best-fit baseline+occultation models are superimposed on the light curves (blue = TRAPPIST z′-filter; green = VLT/HAWK-I NB1190 filter; red = VLT/HAWK-I NB2090 filter). Right: same light curves divided by their best-fit baseline models. The corresponding best-fit occultation models are superimposed.

Current usage metrics show cumulative count of Article Views (full-text article views including HTML views, PDF and ePub downloads, according to the available data) and Abstracts Views on Vision4Press platform.

Data correspond to usage on the plateform after 2015. The current usage metrics is available 48-96 hours after online publication and is updated daily on week days.

Initial download of the metrics may take a while.