Free Access

Fig. 8

thumbnail

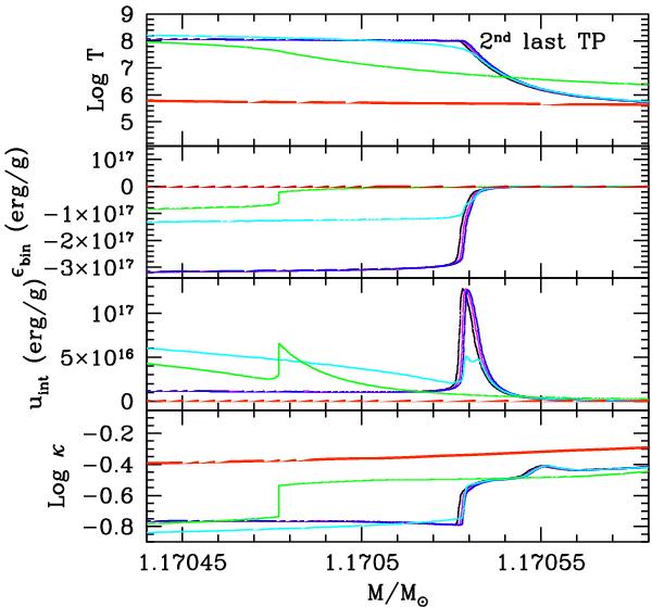
First panel: logarithm of temperature, second panel: specific binding energy ϵbind, third panel: specific internal energy uint and fourth panel: logarithm of opacity profiles for a few selected models along the second last thermal pulse, represented in Fig. 2.

Current usage metrics show cumulative count of Article Views (full-text article views including HTML views, PDF and ePub downloads, according to the available data) and Abstracts Views on Vision4Press platform.

Data correspond to usage on the plateform after 2015. The current usage metrics is available 48-96 hours after online publication and is updated daily on week days.

Initial download of the metrics may take a while.