Free Access

Fig. 2

thumbnail

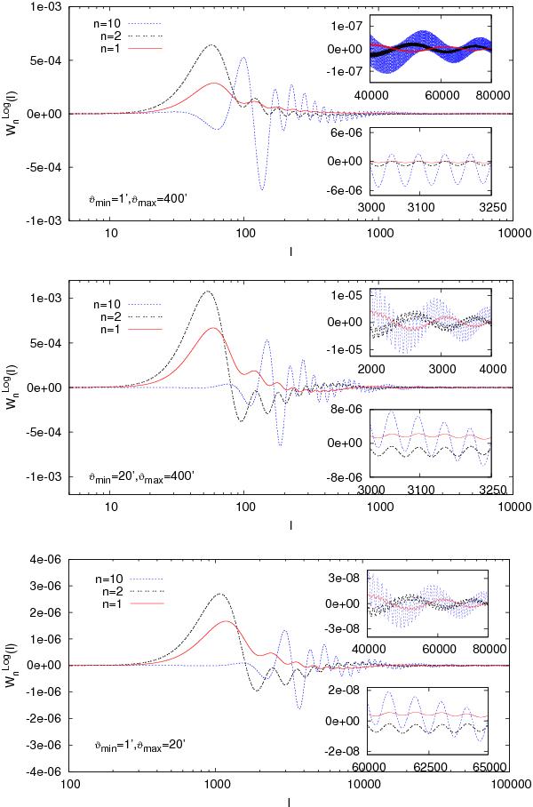
Weight functions . They are the Hankel transformation of as in Eq.(9). Similar to the , the position of the first peak depends mainly on ϑmax and is rather insensitive to ϑmin. The difference between the two sets of linear and logarithmic function can be seen most prominently in the blow-ups; the lower frequency oscillations are more pronounced in this case.

This figure is made of several images, please see below:

Current usage metrics show cumulative count of Article Views (full-text article views including HTML views, PDF and ePub downloads, according to the available data) and Abstracts Views on Vision4Press platform.

Data correspond to usage on the plateform after 2015. The current usage metrics is available 48-96 hours after online publication and is updated daily on week days.

Initial download of the metrics may take a while.