Free Access

Fig. 14

thumbnail

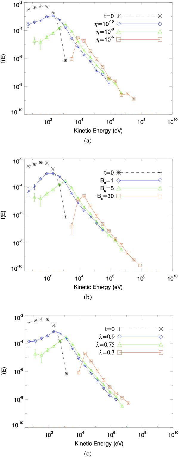
Scalings of steady-state energy spectra for global fan simulation. a) For different values of η with fixed Bs = α = 5 and λ = 0.75. The time taken to reach steady state was t = 8  ×  104, t = 2  ×  104 and t = 6.4  ×  103Tω,p for η = 10-10, η = 10-8 and η = 10-6 respectively. b) For different values of Bs = α with fixed η = 10-8 and λ = 0.75. Steady-state was reached at t = 2  ×  105, t = 2  ×  104 and t = 5  ×  103Tω,p for Bs = 1, Bs = 5 and Bs = 30 respectively. c) For different values of λ with fixed Bs = α = 5 and η = 10-8. Time to steady state is t = 105, t = 2  ×  104 and t = 8  ×  103Tω,p for λ = 0.9, λ = 0.75 and λ = 0.3 respectively.

This figure is made of several images, please see below:

Current usage metrics show cumulative count of Article Views (full-text article views including HTML views, PDF and ePub downloads, according to the available data) and Abstracts Views on Vision4Press platform.

Data correspond to usage on the plateform after 2015. The current usage metrics is available 48-96 hours after online publication and is updated daily on week days.

Initial download of the metrics may take a while.