Free Access

Fig. 7

thumbnail

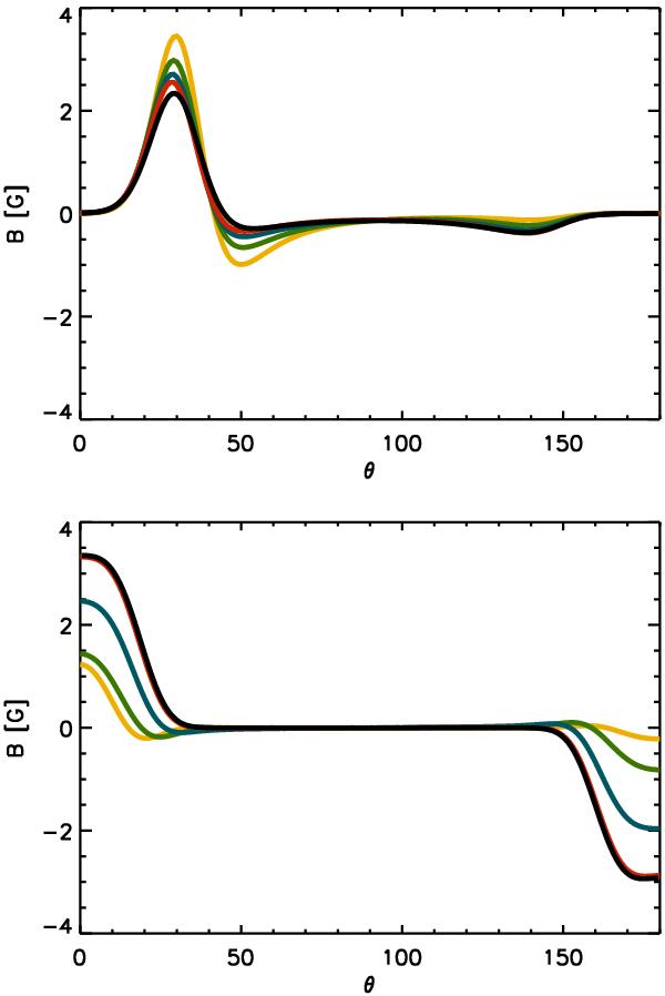
The surface field from the reference SFT simulations at t = 18 months (top) and t = 72 months (bottom) are shown in black. The results of the FTD simulation with a vertical field outer boundary and an anisotropic near-surface diffusivity (250 km2 s-1 in the horizontal directions and 25 km2 s-1 in the vertical direction). The vertical pumping is based on the vertical diffusivity gradient with k = 20 (red), 10 (blue), 5 (green), and 0 (yellow).

This figure is made of several images, please see below:

Current usage metrics show cumulative count of Article Views (full-text article views including HTML views, PDF and ePub downloads, according to the available data) and Abstracts Views on Vision4Press platform.

Data correspond to usage on the plateform after 2015. The current usage metrics is available 48-96 hours after online publication and is updated daily on week days.

Initial download of the metrics may take a while.