Fig. 4

thumbnail

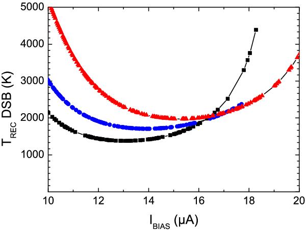
Series of measured Trec (DSB) vs. mixer bias current Ibias curves at three different bias voltages for the 2.5 THz mixer used in the M-channel receiver during the 2011 operations. The mixer was measured in a laboratory test setup using a FIR gas laser at 2523 GHz. From top to bottom the traces are for bias voltages 0.65 mV, 0.5 mV and 0.4 mV. For these measurements the pump power of the FIR gas laser LO was varied by means of an attenuating wire grid.

Current usage metrics show cumulative count of Article Views (full-text article views including HTML views, PDF and ePub downloads, according to the available data) and Abstracts Views on Vision4Press platform.

Data correspond to usage on the plateform after 2015. The current usage metrics is available 48-96 hours after online publication and is updated daily on week days.

Initial download of the metrics may take a while.