Free Access

Fig. 11

thumbnail

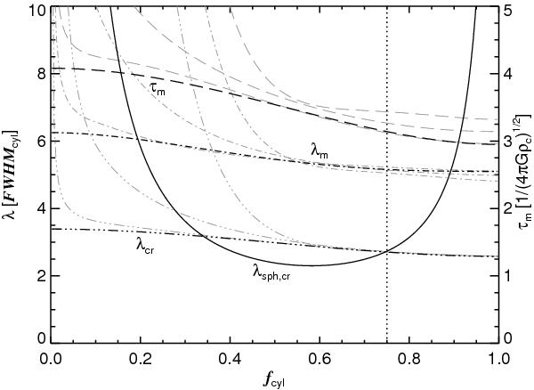
Length and time scales relevant to fragmentation as a function of fcyl, in units of the FWHM (left axis) and , the sound crossing time of r0 (right), respectively. The shortest wavelength growing mode is λcr (dashed-multiple dotted lines). The fastest growing mode is λm (dashed-single dotted lines) which, in the linear regime, develops on a time scale τm (long-dashed lines). For comparison, λcr,sph is the length along the filament required to encompass a mass equal to that of a critical stable sphere for the same pext and K (solid line). The black broken lines correspond to non-magnetized cylinders. The related grey lines show the increasing effect of a magnetic field and correspond to p2 = 1%, 10%, and 100% of equipartition. The values are based on the work of Nagasawa (1987), see Appendix E. The vertical dotted line marks the mass ratio fcyl = 0.75.

Current usage metrics show cumulative count of Article Views (full-text article views including HTML views, PDF and ePub downloads, according to the available data) and Abstracts Views on Vision4Press platform.

Data correspond to usage on the plateform after 2015. The current usage metrics is available 48-96 hours after online publication and is updated daily on week days.

Initial download of the metrics may take a while.