Free Access

Fig. 10

thumbnail

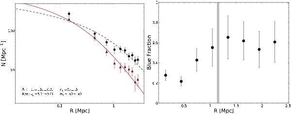
Left: number density profiles with their best-fit NFW models for red member galaxies (red triangles, solid curve) and all members (black circles, dashed curve), respectively. We obtained reduced χ2 = 1.03,2.24 for the red and all member galaxies, which indicates that the red galaxies follow well the theoretical profile and the blue galaxies may account for the deviation of the fit for all member galaxies. The bin size is 300 kpc. Right: ratio of blue to all member galaxies as a function of projection distance from the X-ray flux-weighted centroid. The vertical line remarks .

This figure is made of several images, please see below:

Current usage metrics show cumulative count of Article Views (full-text article views including HTML views, PDF and ePub downloads, according to the available data) and Abstracts Views on Vision4Press platform.

Data correspond to usage on the plateform after 2015. The current usage metrics is available 48-96 hours after online publication and is updated daily on week days.

Initial download of the metrics may take a while.