Free Access

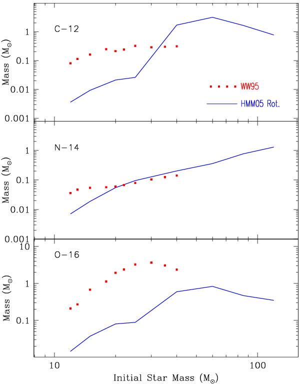
Fig. 5

thumbnail

CNO yields of massive stars of solar initial metallicity adopted in this work: total yields for stars with no mass loss and no rotation in the 11–40 M range, from WW95 (points); and wind yields of rotating mass-losing stars in the 12–120 M range, from Hirschi et al. (2005, curves).

Current usage metrics show cumulative count of Article Views (full-text article views including HTML views, PDF and ePub downloads, according to the available data) and Abstracts Views on Vision4Press platform.

Data correspond to usage on the plateform after 2015. The current usage metrics is available 48-96 hours after online publication and is updated daily on week days.

Initial download of the metrics may take a while.