Free Access

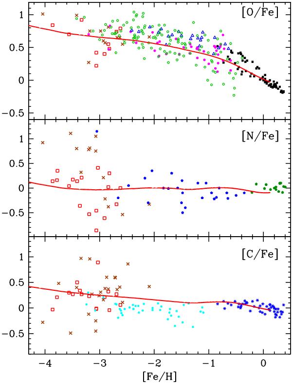
Fig. 6

thumbnail

Evolution of O/Fe, N/Fe and C/Fe vs. Fe/H. Data sources: Spite et al. (2005, open squares for C, N, O), Lai et al. (2008, X for C, N, O), Primas (2010, filled circles for O), Tan et al. (2009, open triangles for O), Boesgaard et al. (2011, open circles for O), Bensby et al. (2003, filled squares for O), Israelian et al. (2004, filled pentagons for N), Bensby et al. (2006, asterisks for C), Fabbian et al. (2009, filled circles for C).

Current usage metrics show cumulative count of Article Views (full-text article views including HTML views, PDF and ePub downloads, according to the available data) and Abstracts Views on Vision4Press platform.

Data correspond to usage on the plateform after 2015. The current usage metrics is available 48-96 hours after online publication and is updated daily on week days.

Initial download of the metrics may take a while.