Free Access

Fig. 2

thumbnail

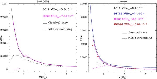
Mass fraction of 3He at the stellar surface at the end of the second dredge-up as a function of initial stellar mass in standard models (solid lines and triangles) and in models including various prescriptions for mixing in the radiative regions (dashed lines), at two metallicities (Z = 0.0001 and Z = 0.014; left and right panels, respectively). The predictions are from Dearborn et al. (1996, DST96, blue line), Boothroyd & Sackmann (1999, BS99, at the RGB tip, magenta lines), Weiss et al. (1996, WWD96, red triangles), and Lagarde et al. (2011, LC11, black lines). The initial abundances of 3He adopted at the zero age main sequence by the different authors are given on the top right corner of each panel.

This figure is made of several images, please see below:

Current usage metrics show cumulative count of Article Views (full-text article views including HTML views, PDF and ePub downloads, according to the available data) and Abstracts Views on Vision4Press platform.

Data correspond to usage on the plateform after 2015. The current usage metrics is available 48-96 hours after online publication and is updated daily on week days.

Initial download of the metrics may take a while.