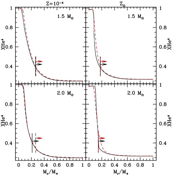
Fig. 4
Abundance profile of 4He at the end of the main sequence for the 1.5 M⊙ and 2.0 M⊙ models at two metallicities (Z = 0.0001 and Z = 0.014, left and right panel, respectively) in the standard case (solid black line), and when including the effects of rotation (red dashed line). Models are from Paper II. The maximum depth reached by the convective envelope during the first dredge-up is shown with the vertical bars and arrows.
Current usage metrics show cumulative count of Article Views (full-text article views including HTML views, PDF and ePub downloads, according to the available data) and Abstracts Views on Vision4Press platform.
Data correspond to usage on the plateform after 2015. The current usage metrics is available 48-96 hours after online publication and is updated daily on week days.
Initial download of the metrics may take a while.