Free Access

Fig. 1

thumbnail

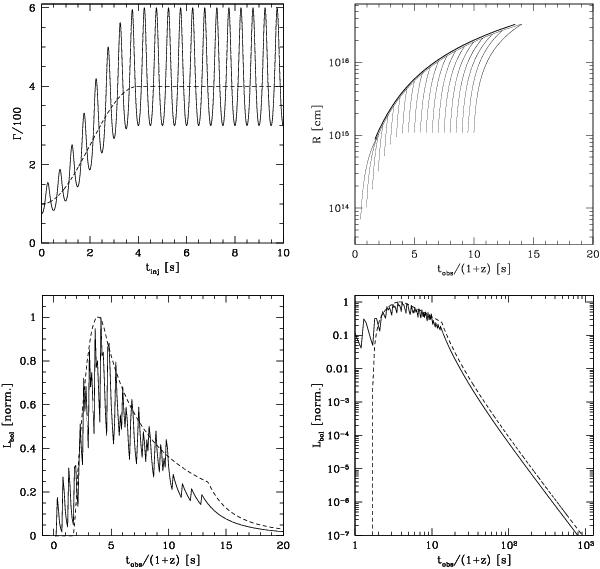
Early steep decay from high latitude emission in the internal shock framework. Two examples of synthetic GRBs with a smooth (dashed line) or a highly variable (solid line) light curve. Top left: initial distribution of the Lorentz factor in the flow as a function of injection time tinj (a short timescale (0.5 s) fluctuation of the Lorentz factor is added to produce the variable burst). In the two cases, the injected kinetic power is constant. Top right: shock radius (smooth light curve case: thick line; variable light curve case: thin line) as a function of observer time, showing that the maximum values reached by the emission radius, i.e. Rγ, are comparable in the two cases. Bottom: bolometric light curve on either a linear (left panel) or logarithmic (right panel) scale. The high latitude contribution is very similar for both the smooth and variable light curves.

This figure is made of several images, please see below:

Current usage metrics show cumulative count of Article Views (full-text article views including HTML views, PDF and ePub downloads, according to the available data) and Abstracts Views on Vision4Press platform.

Data correspond to usage on the plateform after 2015. The current usage metrics is available 48-96 hours after online publication and is updated daily on week days.

Initial download of the metrics may take a while.