Free Access
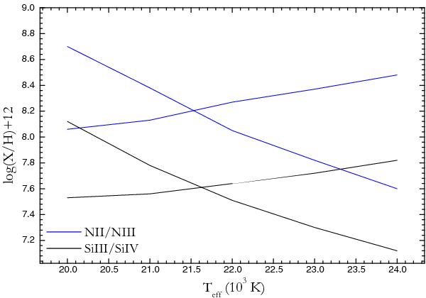
Fig. 5

Si iii/iv and N ii/iii ionization balance for the hot post-AGB star LSE 63 (IRAS 18371-3159). The figure shows the average abundance results used to determine Teff = 21 600 K for this star.
Current usage metrics show cumulative count of Article Views (full-text article views including HTML views, PDF and ePub downloads, according to the available data) and Abstracts Views on Vision4Press platform.
Data correspond to usage on the plateform after 2015. The current usage metrics is available 48-96 hours after online publication and is updated daily on week days.
Initial download of the metrics may take a while.