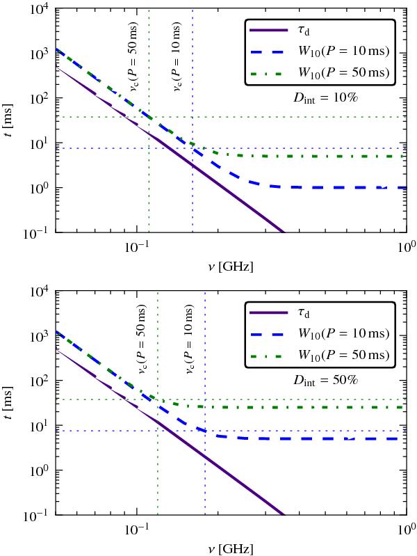
Fig. A.1
Pulse widths broadened due to ISM scattering in the frequency range at which the role of pulse broadening turns from crucial to negligible. The resulting width W10 is plotted considering P = 10 ms (blue dashed lines) and P = 50 ms (green dash-dotted lines) for intrinsic duty cycles Dint = 10% (top panel) and Dint = 50% (bottom panel). The pulse broadening timescale τd is plotted with a solid indigo line. Horizontal lines mark 75% of period, and vertical lines indicate the νc where the pulse widths cross this limit.
Current usage metrics show cumulative count of Article Views (full-text article views including HTML views, PDF and ePub downloads, according to the available data) and Abstracts Views on Vision4Press platform.
Data correspond to usage on the plateform after 2015. The current usage metrics is available 48-96 hours after online publication and is updated daily on week days.
Initial download of the metrics may take a while.