Free Access
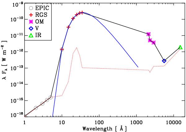
Fig. 5

Unabsorbed SED used for V2491 Cyg (solid line and data points). We also show the unabsorbed blackbody emission (blue dashed-dotted line) and the observed absorbed fluxes (red dotted line).
Current usage metrics show cumulative count of Article Views (full-text article views including HTML views, PDF and ePub downloads, according to the available data) and Abstracts Views on Vision4Press platform.
Data correspond to usage on the plateform after 2015. The current usage metrics is available 48-96 hours after online publication and is updated daily on week days.
Initial download of the metrics may take a while.