Free Access

Fig. 2

thumbnail

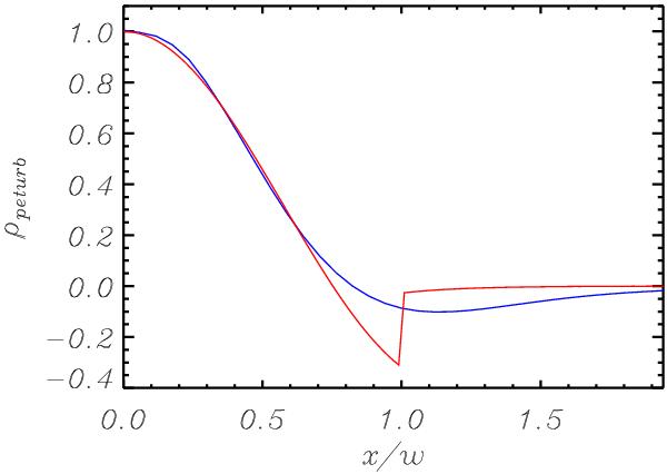
Snapshots of the density perturbation as a function of the radial coordinate. The blue line corresponds to the result obtained by simulations for a plasma cylinder, and the red line shows the solution in the cylinder with a discontinuous density profile.

Current usage metrics show cumulative count of Article Views (full-text article views including HTML views, PDF and ePub downloads, according to the available data) and Abstracts Views on Vision4Press platform.

Data correspond to usage on the plateform after 2015. The current usage metrics is available 48-96 hours after online publication and is updated daily on week days.

Initial download of the metrics may take a while.