Free Access

This article has an erratum: [https://doi.org/10.1051/0004-6361/201118224e]


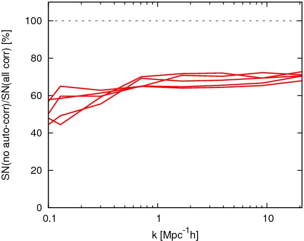
Fig. 10

thumbnail

Relative change in the signal-to-noise in fδ,mn if only shear tomography correlation functions with i ≠ j (redshift slices with no overlap) are used for the estimation (minimum variance). The plot is based on a fiducial survey with σz = 0. Different lines correspond to different z-bins. In total, roughly 30 percent of the signal-to-noise is lost.

Current usage metrics show cumulative count of Article Views (full-text article views including HTML views, PDF and ePub downloads, according to the available data) and Abstracts Views on Vision4Press platform.

Data correspond to usage on the plateform after 2015. The current usage metrics is available 48-96 hours after online publication and is updated daily on week days.

Initial download of the metrics may take a while.