Free Access

This article has an erratum: [https://doi.org/10.1051/0004-6361/201118224e]


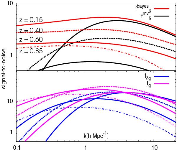
Fig. 7

thumbnail

Predicted signal-to-noise ratio of the relative band powers fmn for different redshift bins (see key for line styles in the top panel). Minimum variance estimators and Bayesian analysis give comparable results except for the matter band power fδ,mn (top panel), which here combines constraints from lensing and galaxy clustering with priors b ≤ 4 and  | r |  ≤ 2 in the Bayesian approach. The bottom panels shows the signal-to-noise of the minimum variance estimates.

Current usage metrics show cumulative count of Article Views (full-text article views including HTML views, PDF and ePub downloads, according to the available data) and Abstracts Views on Vision4Press platform.

Data correspond to usage on the plateform after 2015. The current usage metrics is available 48-96 hours after online publication and is updated daily on week days.

Initial download of the metrics may take a while.