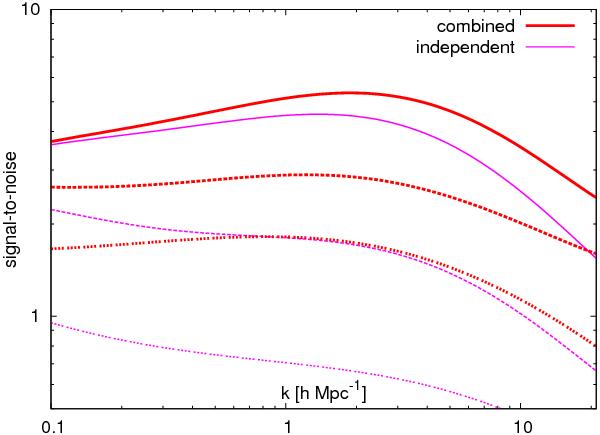
Fig. 8

Signal-to-noise ratio per band of the reconstructed matter power spectrum fδ,mn in a Bayesian analysis, either for an analysis of the shear tomography alone (“independent”), or when combining galaxy clustering, lensing with priors b ≤ 4, | r | ≤ 2 (“combined”). Plotted are the three first redshift bins (top to bottom line).
Current usage metrics show cumulative count of Article Views (full-text article views including HTML views, PDF and ePub downloads, according to the available data) and Abstracts Views on Vision4Press platform.
Data correspond to usage on the plateform after 2015. The current usage metrics is available 48-96 hours after online publication and is updated daily on week days.
Initial download of the metrics may take a while.