Fig. 1

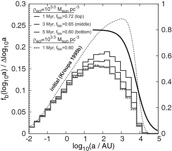
The Ω-operator in action (Eq. (2), thick solid S-shaped curve, schematic, right ordinate). Its exact shape depends on the cluster volume-density within the half-mass radius, ρecl, and time, t, for stimulated evolution. Multiplying the respective operator by the initial binary population (Kroupa 1995b, thin dotted line) for a cluster with ρecl = 103 M⊙ pc-3, and age, t = 1, 3, and 5 Myr, respectively, results in the three semi-major axis distributions (solid histograms from top to bottom). Most of the evolution has already taken place in the first Myr, where the binary fraction decreases from 100 to 72 percent in this particular cluster. The grey thick dashed line on top of the lowest black solid line is the resulting semi-major axis distribution for a ρecl = 103.5 M⊙ pc-3 cluster after 1 Myr of stimulated evolution. This shows that two clusters with densities ρecl(1) < ρecl(2) can evolve into the same resulting distribution when we assume t(2) < t(1) is appropriately chosen (owing to the age-density degeneracy). That is, the ρecl(1) cluster at age t(1) is dynamically equivalent to the ρecl(2) cluster at age t(2).
Current usage metrics show cumulative count of Article Views (full-text article views including HTML views, PDF and ePub downloads, according to the available data) and Abstracts Views on Vision4Press platform.
Data correspond to usage on the plateform after 2015. The current usage metrics is available 48-96 hours after online publication and is updated daily on week days.
Initial download of the metrics may take a while.