Free Access
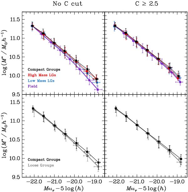
Fig. 7

The stellar mass as a function absolute magnitude for galaxies in our samples. Points represent the median in each bin, error-bars are the 25% and 75% percentiles within each bin.
Current usage metrics show cumulative count of Article Views (full-text article views including HTML views, PDF and ePub downloads, according to the available data) and Abstracts Views on Vision4Press platform.
Data correspond to usage on the plateform after 2015. The current usage metrics is available 48-96 hours after online publication and is updated daily on week days.
Initial download of the metrics may take a while.