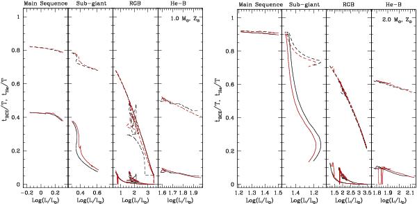
Fig. 8

Acoustic radius at the base of the convective envelope (tBCE, solid line) and at the base of helium-ionization zone (tHe, dashed line) compared to total acoustic radius T as a function of the stellar luminosity for (left panel) 1.0 and (right panel) 2.0 M⊙ models at solar metallicity following standard (black line) and rotating prescriptions (red line); (from left to right) on the main sequence, the sub-giant branch, red giant branch, and helium burning phase.
Current usage metrics show cumulative count of Article Views (full-text article views including HTML views, PDF and ePub downloads, according to the available data) and Abstracts Views on Vision4Press platform.
Data correspond to usage on the plateform after 2015. The current usage metrics is available 48-96 hours after online publication and is updated daily on week days.
Initial download of the metrics may take a while.