Free Access
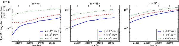
Fig. 5

Evolution of the specific angular momentum for μ = 5, three orientations (α = 0,45 and 90°; respectively left, central and right panel), and three density thresholds ρcr corresponding to n > 1010 cm-3, n > 109 cm-3, and n > 108 cm-3.
Current usage metrics show cumulative count of Article Views (full-text article views including HTML views, PDF and ePub downloads, according to the available data) and Abstracts Views on Vision4Press platform.
Data correspond to usage on the plateform after 2015. The current usage metrics is available 48-96 hours after online publication and is updated daily on week days.
Initial download of the metrics may take a while.