Free Access

Fig. C.1

thumbnail

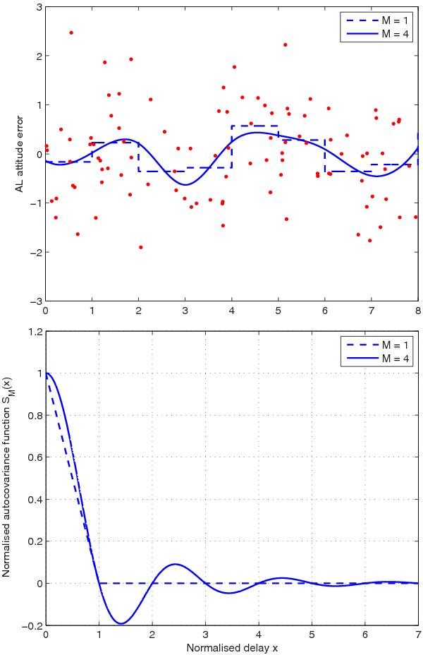
Top: the along-scan attitude measurements (symbolised by the dots) schematically fitted by a first-order spline (dashed line) and a cubic spline (solid curve), using the same uniform knot sequence with knot interval Δt. Bottom: the theoretical autocovariance functions of the two splines, normalised as described in the text. In both diagrams the timescale is shown in units of Δt.

Current usage metrics show cumulative count of Article Views (full-text article views including HTML views, PDF and ePub downloads, according to the available data) and Abstracts Views on Vision4Press platform.

Data correspond to usage on the plateform after 2015. The current usage metrics is available 48-96 hours after online publication and is updated daily on week days.

Initial download of the metrics may take a while.