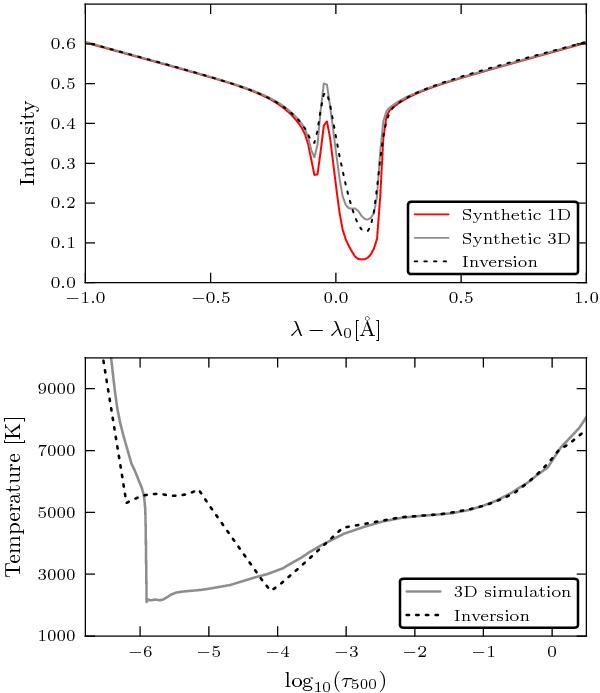
Fig. 11

Upper panel: vertically emerging intensity profile for a pixel with a low chromospheric temperature computed with Multi3D using 3D radiative transfer (solid-gray), the profile for the same pixel, but assuming 1D plane-parallel geometry (solid-red) and the best fit from an inversion (dashed). Lower panel: the temperature structure for the same pixel (solid-gray) and the temperature structure inferred from the inversion (dashed).
Current usage metrics show cumulative count of Article Views (full-text article views including HTML views, PDF and ePub downloads, according to the available data) and Abstracts Views on Vision4Press platform.
Data correspond to usage on the plateform after 2015. The current usage metrics is available 48-96 hours after online publication and is updated daily on week days.
Initial download of the metrics may take a while.