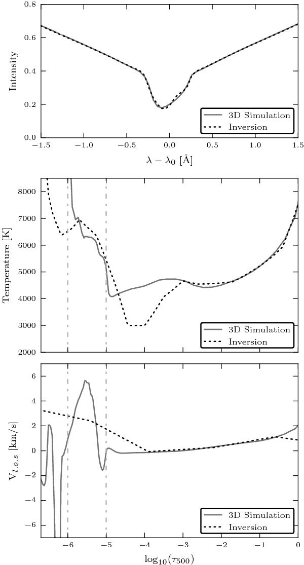
Fig. 12

Upper panel: intensity profile calculated from a column of the model where a shock is present (solid line). The dashed line corresponds to the inversion result. Middle panel: temperature stratification in the original model (solid) and the inversion result (dashed). Bottom: line-of-sight velocity stratification in the original model (solid) and the inversion result (dashed). The shock is located between the two gray dash-dotted lines.
Current usage metrics show cumulative count of Article Views (full-text article views including HTML views, PDF and ePub downloads, according to the available data) and Abstracts Views on Vision4Press platform.
Data correspond to usage on the plateform after 2015. The current usage metrics is available 48-96 hours after online publication and is updated daily on week days.
Initial download of the metrics may take a while.