Free Access

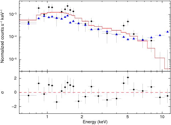
Fig. 5

thumbnail

Upper panel: Suzaku/XIS spectrum of the candidate PSR J1028 − 5819 X-ray counterpart obtained using data from the three XIS CCDs. The background level is marked in blue and the best-fit PL model in red. Lower panel: fit residuals. The residuals show some (rather small) structures. In the 1.5–2 keV interval, they are probably associated with the Si K-edge remain, while around 5 keV they likely arise from the different responses of the BI and FI detectors around this energy. However, we note that most residuals are within 1σ from the best-fit PL model.

Current usage metrics show cumulative count of Article Views (full-text article views including HTML views, PDF and ePub downloads, according to the available data) and Abstracts Views on Vision4Press platform.

Data correspond to usage on the plateform after 2015. The current usage metrics is available 48-96 hours after online publication and is updated daily on week days.

Initial download of the metrics may take a while.