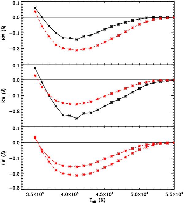
Fig. 2

Equivalent width of N iiiλ4640 as a function of Teff, for MW and SMC models at log g = 4.0 and mass-loss rates scaled according to Z (see text). Solid/black and dashed(-dotted)/red curves refer to MW series “E” and SMC series “D” models, respectively (Δlog Q = −0.35 dex). Upper panel: [N] = 7.78 for both Galactic and SMC models. Middle panel: comparison accounting for the theoretically expected maximum [N] enrichment, drawn from tailored evolutionary calculations by Brott et al. (2011a): MW models with [N] = 8.18 and SMC models with [N] = 7.58. Lower panel: SMC series “D” models, with [N] = 7.58 (dashed-dotted) and [N] = 7.78 (dashed). The line emission increases with increasing [N].
Current usage metrics show cumulative count of Article Views (full-text article views including HTML views, PDF and ePub downloads, according to the available data) and Abstracts Views on Vision4Press platform.
Data correspond to usage on the plateform after 2015. The current usage metrics is available 48-96 hours after online publication and is updated daily on week days.
Initial download of the metrics may take a while.