Free Access

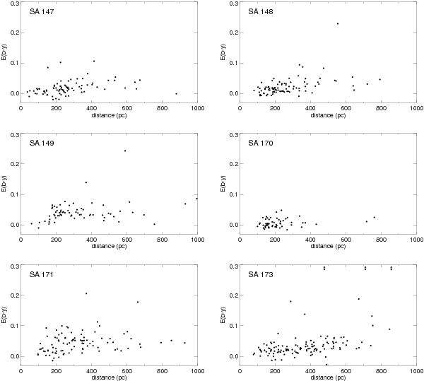
Fig. 4

thumbnail

Colour excess vs. distance diagrams obtained for each of the observed selected area. Three stars belonging to SA 173 present colour excess larger than at distances smaller than 1 kpc. Their distances are indicated in the diagram by dots with arrows.

Current usage metrics show cumulative count of Article Views (full-text article views including HTML views, PDF and ePub downloads, according to the available data) and Abstracts Views on Vision4Press platform.

Data correspond to usage on the plateform after 2015. The current usage metrics is available 48-96 hours after online publication and is updated daily on week days.

Initial download of the metrics may take a while.