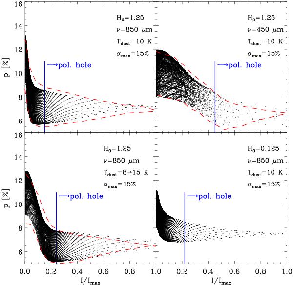
Fig. 6

Degree of polarisation (p) as a function of the intensity normalised to its peak value (I/Imax) for the LS96 toroid with an inclination of 50 degrees with respect to the plane of the sky for different wavelengths, temperatures, and values of H0. Each point in these diagrams represents a grid point from the model and multiple tracks are an artefact due to the grid sampling. The red dashed lines show the maximum and minimum values of the polarisation degree found by GGW05, see their Fig. 8. Regions on the right of the vertical blue solid lines correspond to the extent of the polarisation holes.
Current usage metrics show cumulative count of Article Views (full-text article views including HTML views, PDF and ePub downloads, according to the available data) and Abstracts Views on Vision4Press platform.
Data correspond to usage on the plateform after 2015. The current usage metrics is available 48-96 hours after online publication and is updated daily on week days.
Initial download of the metrics may take a while.