Free Access

Fig. 2

thumbnail

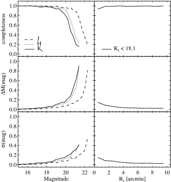
Left: the results of artificial star experiments on the stacked JHKs images (dashed, dotted, and solid lines) of a  ~24′ × 24′ field of the WIRCam observation. Right: the results of the experiments as a function of the projected radius (Rc) from the center of NGC 205. Only stars brighter than Ks = 18.1 mag were considered because we assumed that AGB stars are brighter than Ks = 18.1 mag in Sect. 3.2. The completeness is the number of recovered artificial stars divided by the total number of added stars. ΔM (mag) is the mean difference between the actual input magnitudes and the measured magnitudes by DAOPHOTII/ALLSTARS, and σ (mag) is the standard deviation of the ΔM.

Current usage metrics show cumulative count of Article Views (full-text article views including HTML views, PDF and ePub downloads, according to the available data) and Abstracts Views on Vision4Press platform.

Data correspond to usage on the plateform after 2015. The current usage metrics is available 48-96 hours after online publication and is updated daily on week days.

Initial download of the metrics may take a while.