Free Access

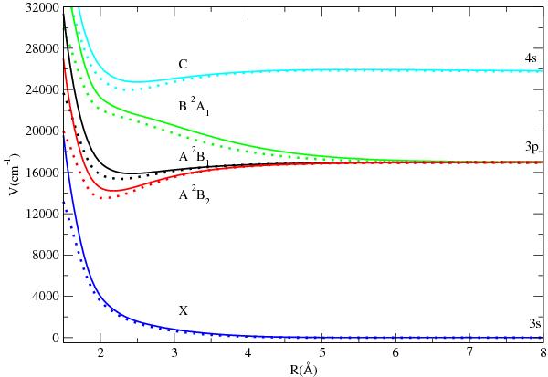
Fig. 1

thumbnail

Potential curves for the 3s, 3p and 4s states of NaH2 molecule without spin-orbit coupling for the C2v symmetry of S11 (dotted lines) compared to RP85 (full line).

Current usage metrics show cumulative count of Article Views (full-text article views including HTML views, PDF and ePub downloads, according to the available data) and Abstracts Views on Vision4Press platform.

Data correspond to usage on the plateform after 2015. The current usage metrics is available 48-96 hours after online publication and is updated daily on week days.

Initial download of the metrics may take a while.