Free Access

Fig. 10

thumbnail

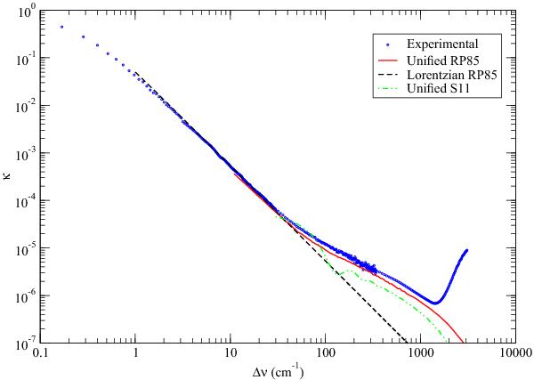
Normalized absorption coefficient for the Na D 3s2S1/2–3p2P3/2 line wing broadened by collision with H2 at 770 K. The experimental spectrum is a composite of three segments at different resolution as described in the text. Its normalization is based on matching the core in Fig. 9 for nH2 = 1.0 × 1019 cm-3.

Current usage metrics show cumulative count of Article Views (full-text article views including HTML views, PDF and ePub downloads, according to the available data) and Abstracts Views on Vision4Press platform.

Data correspond to usage on the plateform after 2015. The current usage metrics is available 48-96 hours after online publication and is updated daily on week days.

Initial download of the metrics may take a while.