Free Access

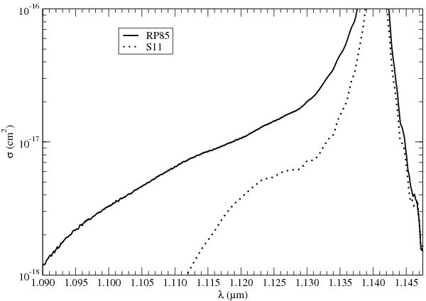
Fig. 6

thumbnail

Absorption cross sections of the 3pP3/2 4s-line component of NaH2, taking into account the two symmetries C2v and Cv using RP85 (full line) compared to S11 (dotted lines) (nH2 = 1019 cm-3 at 1000 K).

Current usage metrics show cumulative count of Article Views (full-text article views including HTML views, PDF and ePub downloads, according to the available data) and Abstracts Views on Vision4Press platform.

Data correspond to usage on the plateform after 2015. The current usage metrics is available 48-96 hours after online publication and is updated daily on week days.

Initial download of the metrics may take a while.